좋아요 0
중등

대각선 개수 공식 | 중1 수학 | 홈런 중등

안녕하세요, 아이스크림 홈런입니다.

이번시간에는 중학교 1학년 수학 다각형의 대각선 개수에 대해 알아보겠습니다. 
다각형 내부에는 어떻게 대각선이 배치되는지, 그리고 대각선의 개수를 어떻게 계산할 수 있는지 공식과 함께 알아보도록 하겠습니다.



 

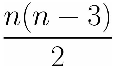
다각형의 대각선 개수 공식
다각형의 대각선 개수는 다음과 같은 공식을 통해 구할 수 있습니다.

대각선 개수 = n * (n - 3) / 2




여기서 n은 다각형의 변의 수를 나타냅니다. 
이 공식은 어떤 다각형이든지 적용 가능한 일반적인 공식입니다.

대각선 개수는 어떻게 구하는지 다음과 같이 예시를 알아보도록 하겠습니다.

 
 

대각선 개수 계산의 예시

1) 삼각형의 경우 변의 수 n이 3이므로 대각선 개수는 3 * (3 - 3) / 2 = 0입니다.

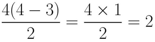
2) 사각형의 경우 변의 수 n이 4이므로 대각선 개수는 4 * (4 - 3) / 2 = 2입니다.




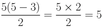
3) 오각형의 경우 변의 수 n이 4이므로 대각선 개수는 5 * (5 - 3) / 2 = 5입니다.



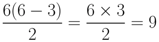
4) 육각형의 경우 변의 수 n이 4이므로 대각선 개수는 6 * (6 - 3) / 2 = 9입니다.



5) 구각형의 경우 변의 수 n이 4이므로 대각선 개수는 9 * (9 - 3) / 2 = 27입니다.




 
 

**응용문제 예시


1. 대각선의 교차점 개수 계산
n개의 동심원이 있는 원들이 있을 때, 이 원들의 교차점에서 만들어지는 다각형의 대각선 개수를 각각 계산해보세요. 동심원의 개수에 따라 대각선 개수가 어떻게 변하는지 관찰해보세요.


2. 꼭짓점 수의 규칙 찾기
변의 수가 n일 때 다각형의 꼭짓점 수를 구하는 공식을 찾아보세요. 대각선 개수 공식과 꼭짓점 수 간에 어떤 관계가 있는지 알아보세요.


3. 대각선 개수와 면 수의 관계
다각형의 대각선 개수와 면 수 간에 어떤 관계가 있는지 조사해보세요. 다각형이 더 많은 대각선을 가질 때 면 수는 어떻게 변하는지 알아보세요.


4. 다각형 내부의 삼각형 개수
n각형 내부에 몇 개의 삼각형이 만들어지는지 계산해보세요. 대각선을 이용하여 다각형 내부를 여러 삼각형으로 나눌 수 있습니다.



이렇게 다각선의 개수를 알아보았는데요! 다각형의 대각선 개수 공식은 다각형의 내부 구조를 이해하고 계산하는 데 도움을 줍니다. 
수학을 통해 다양한 도형의 특성을 파악하면서 창의적인 문제 해결 능력을 키울 수 있을 것입니다.

지금까지 아이스크림 홈런이었습니다.

 


중등 공부도 역시, 아이스크림 홈런!

홈런 중등 무료체험 하기>
홈런 중등 유료학습 하기>
목록보기